Natural Language Processing
자연어 처리 과정
1.
NLU(natural Language Understanding)
자연어 이해 : 자연어 형태의 문장을 이해하는 기술
ex) 구글에서 NLU 기술을 접목해 기존 키워드 매칭 방식과 비교해 더 나은 검색 서비스를 제공함
2.
NLG
자연어 생성 : 자연어 문장을 생성하는 기술
ex) 자동 완성, 스토리 생성
자연어 처리 응용
이메일 필터링(Email filtering), 언어 번역(Language translation), 스마트 비서(Smart assistants), 문서 분석(Document analysis), 온라인 검색(Online searches), 예측 텍스트(Predictive text), 자동 요약(Automatic summarization), 감정 분석(Sentiment analysis), 챗봇(Chatbots), 소셜 미디어 모니터링(Social media monitoring)
텍스트 표현
•
신경망으로 자연어 처리(NLP) 작업을 해결하려면 텍스트를 텐서로 표현하는 방법이 필요
•
컴퓨터는 이미 텍스트 문자를 ASCII(아스키 코드)또는 UTF-8과 같은 인코딩을 사용하여 화면의 글꼴에 매핑되는 숫자로 나타내고 있음
비트와 바이트
인코딩과 디코딩
인코딩
문자열을 바이트코드로 변환
•
파이썬에서 문자열은 유니코드로 처리
•
따라서 인코딩한다는 의미는 유니코드를 utf-8, euc-kr, ascii 형식의 byte 코드로 변환하는 것을 의미
디코딩
바이트 코드를 문자열로 변환
•
파이썬에서 디코딩한다는 것은 byte 코드를 유니코드로 변환한다는 것을 뜻함
유니코드 정규화(Unicode Normalization)
아스키 코드(ASCII)
•
가장 처음 만들어진 인코딩이 ASCII 코드이다.
•
128개의 문자조합을 제공하는 7비트(1비트는 통신 에러 검출용) 부호
•
알파벳, 숫자, 특수기호 그외 컴퓨터에 필요한 몇 가지만이 정의되어 있어서 점차 여러 나라에서 컴퓨터를 사용하게 되고 통신이 발달하다보니 기존의 아스키 인코딩보다 더 많은 문자들을 정의한 새로운 인코딩이 필요해짐
유니코드(Unicode)
•
각 나라별 언어를 모두 표현하기 위해 나온 코드 체계가 유니코드
•
사용중인 운영체제, 프로그램, 언어에 관계 없이 문자마다 고유한 코드 값을 제공하는 새로운 개념의 코드
•
UTF-8 (가변길이 인코딩): utf-8은 가장 많이 사용되는 가변 길이 유니코드 인코딩이다.
unicodedata
•
유니코드 정규화를 해주는 모듈
•
파이썬으로 텍스트 전처리를 하다가 정규식으로 한글 영어만 추출할 때, 가끔 데이터가 None이 되는 경우가 많이 발생한다.
•
그런 경우에는 대부분 같은 문자이지만 아스키 코드가 달라서 발생하는 문제들이다.
•
이런 이슈(오류)들을 피하기 위해서 유니코드 정규화를 해야 한다.
•
.normalize(형식, 문자열)
◦
NFC(Normal From Composed): 구성된 문자 반환
unicodedata.normalize('NFC', 'Wir sehen Sie später.').encode('utf-8')
# b'Wir sehen Sie sp\xc3\xa4ter.'
b'\xc3\xa4'.decode('utf-8')
# ä
Python
복사
◦
NFD(Normal Form Decomposed): 분해, 결합된 문자 제공
unicodedata.normalize('NFD', 'Wir sehen Sie später.').encode('utf-8')
# b'Wir sehen Sie spa\xcc\x88ter.'
b'a, \xcc\x88'.decode('utf-8')
# a, ̈
Python
복사
•
.category(단일 문자)
단일 문자(chr)에 할당된 일반 범주(general category)를 문자열로 반환
◦
Mn: Mark, no spacing(발음구별기호)
◦
LI: Letter, lower case
◦
Lu: Letter, upper case
unicodedata.category('c')
# Ll
unicodedata.category('C')
# Lu
Python
복사
텍스트 전처리(Text Preprocessing)
Cleaning(정제)
•
대문자 vs 소문자 처리 아래는 대문자 vs 소문자 처리 방법에 대한 예시
◦
뜻이 같은 경우에는 대문자를 소문자로 변경하는 것이 맞지만, 다르다면 변경하지 말아야 한다.
•
출현 횟수가 적은 단어의 제거
◦
animals(동물) vs faunas(동물군)에서 와 같이 사용횟수가 적은 단어들을 제거한다.
◦
다만, 이때도 출현 횟수가 적지만, 중요한 단어인 경우에는 제거를 하면 안된다.
•
데이터 사용 목적에 맞추어 노이즈를 제거
◦
관사, 대명사 등 의미를 부여할 수 없는 글자들을 제거한다.
Stemming(추출)
어간 추출
•
어간(Stem): 단어의 의미를 담은 핵심
•
접사(Affix): 단어에 추가 용법을 부여
•
ex)
◦
playing -> play(어간) + ing(접사)
◦
lectures -> lecture(어간) + s(접사)
◦
kindness -> kind(어간) + ness(접사)
표제어 추출
•
표제어(lemmatization)는 문장에서 단어의 원형을 추출하는 과정
•
ex)
◦
is, are -> be
◦
having -> have
어간 추출 vs 표제어 추출
•
어간 추출은 품사 정보를 갖고 있지 않음
•
표제어 추출은 단어의 품사 정보를 포함하고 있음
1.
ex)
•
having -> hav(어간 추출) / have(표제어 추출)
•
is -> is(어간 추출) / be(표제어 추출)
2.
ex)
•
bear는 명사일 때는, '곰'이라는 뜻으로 사용하지만, 동사일 때는, '견디다'와 같이 다른 뜻으로 사용될 수 있다.
•
이렇게 품사에 따라 뜻이 달라지는 단어들은 표제어 추출을 하여야 한다.
Stopword(불용어)
•
갖고 있는 데이터에서 유의미한 단어 토큰만을 선별하기 위해서는 큰 의미가 없는 단어 토큰을 제거하는 작업이 필요
“큰 의미가 없다” : 분석을 하는 것에 있어서는 큰 도움이 되지 않는 단어들을 지칭.
Tokenization(토큰화)
•
주어진 문장에서 "의미 부여"가 가능한 단위를 찾는 행위.
•
토큰화는 형태소 분석기를 이용하여 진행
다만, 각 형태소 분석기마다 토큰화를 하는 방식이 다르기 때문에 사용하는 데이터(또는 목적어)에 맞는 형태소 분석기를 찾아서 사용해야 한다.
•
과정
1.
토큰화(형태소 분석기) : 텍스트를 일련의 토큰으로 변환하는 프로세스.
2.
벡터화(어휘집) : 각 토큰을 신경망에 공급할 수 있는 숫자에 할당
•
일반적으로 토큰 어휘를 구축하여 수행
•
이런 벡터화의 과정을 Word Embedding이라고 한다.
Token(토큰)
•
텍스트의 원자 조각
•
우리는 각 문자가 무엇을 나타내는지, 그리고 모든 문자가 어떻게 모여 문장의 단어를 형성하는지 이해.
•
그러나 컴퓨터 자체로는 그러한 이해가 없으며 신경망은 훈련 중에 의미를 학습해야 함.
•
따라서 텍스트를 표현할 때 다양한 접근 방식을 사용할 수 있다.
◦
문자(글자) 수준 표현(Character-level representation)
ex) "토끼 안녕"은 "토", "끼", "안", "녕"으로 구분할 수 있다.
◦
단어 수준 표현(Word-level representation)
ex) "토끼 안녕"은 "토끼", "안녕"으로 구분할 수 있다.
•
형태소(morpheme) : 언어학에서 (일반적인 정의를 따르면) 일정한 의미가 있는 가장 작은 말의 단위로 발화체 내에서 따로 떠어낼 수 있는 것
•
즉, 더 분석하면 뜻이 없어지는 말의 단위
•
ex) 가방에 들어가신다.
•
형태소의 의미/기능으로 구분
◦
실질형태소
어휘적 의미가 있는 형태소로 어떤 대상이나 상태, 동작을 가리키는 형태소
일반적으로 명사, 동사, 형용사, 부사가 이에 속한다. 위의 예에서는 "한나", "책", "보"가 이에 해당
◦
형식형태소
문법적 의미가 있는 형태소로 어휘형태소와 함께 쓰여 그들 사이의 관계를 나타내는 기능을 하는 형태소
한국어에서는 조사, 어미가 이에 속한다. 위의 예에서는 "가", "을", "았", "다"가 이에 해당
•
형태소의 의존성으로 구분
◦
자립형태소
다른 형태소 없이 홀로 어절을 이루어 사용될 수 있는 형태소
한국어에서는 일반적으로 명사, 대명사, 수사, 관형사, 부사, 감탄사 등이 이에 속한다.
위의 예에서는 "한나", "책"가 이에 해당한다.
◦
의존형태소
문장에서 반드시 다른 형태소와 함께 쓰여서 어절을 이루는 형태소
한국어에서는 조사와 어미는 물론 이에 속하고 용언의 어간 즉 동사, 형용사의 어간이 이에 속한다.
위의 예에서는 "가", "을", "보", "았", "다"가 이에 해당
형태소 분석기
•
품사를 태깅(무슨 품사인지 마킹)해주는 라이브러리
•
영어에서의 품사는 문장에서 위치나 말할 때 끊어 있는 띄어쓰기 단위로 되어 있기 때문에 POS(Part of Speech) Tagger라고 한다.
•
반면에 한국어에서는 단어를 다 잘라내야 제대로 형태소를 갈라낼 수 있어서 Morphology Analyzer라고 한다.
•
ex)
◦
우리는 한국인이다 -> 우리(명사), 는(조사)
◦
We are Korean -> We(명사)
•
불용어(Stopword)
◦
a 와 the 같이 자주 등장하지만 중요한 의미를 가지고 있지 않은 단어들
◦
분석에 큰 의미가 없는 단어
Vocabulary(어휘집)
•
중복을 제거한 어휘와 index가 정의된 집합
•
어휘집을 통해 문자를 숫자로 변환 가능
Embedding / Sorting
•
정의
◦
Encoding: 문자를 숫자로 처리하는 과정
◦
Sorting: 자주/중요한 문자를 작은 숫자로 정의하는 과정
•
Encoding 단점
◦
Out of vocabulary words (OOV) 문제: 사전에 포함되어 있는 단어만 처리 가능
◦
단어의 순서 정보 손실
정수 인코딩 (Integer-Encoding)
•
정수 인코딩(Integer Encoding)은 자연어 처리에서 텍스트를 숫자로 변환하는 과정 중 하나
•
이를 통해 컴퓨터가 텍스트를 이해하고 처리할 수 있게 된다.
•
Count Encoding : 문서 집합에서 단어 토큰을 생성하고 각 단어의 수를 세어 BOW 인코딩 벡터를 만드는 과정
◦
Bag of Words - BOW : 문서가 가지는 모든 단어(Words)를 문맥이나 순서를 무시하고 일괄적으로 단어에 대해 빈도 값을 부여해 피처 값을 추출하는 방법
ex) doc=["One Cent, Two Cents, Old Cent, New Cent: All About Money"]
•
TF-IDF Ecoding
◦
단어를 갯수 그대로 카운트하지 않고 모든 문서에 공통적으로 들어있는 단어의 경우 문서 구별 능력이 떨어진다고 보아 가중치를 축소하는 방법
◦
구체적으로는 문서 d(document)와 단어 t에 대해 다음과 같이 계산
▪
tf(d,t): term frequency. 특정한 단어의 빈도수
▪
idf(t): inverse document frequency. 특정한 단어가 들어 있는 문서의 수에 반비례하는 수
•
n: 전체 문서의 수
•
df(t): 단어 t를 가진 문서의 수
원-핫 인코딩(One-Hot Encoding)
•
원-핫 인코딩을 통해서 나온 원-핫 벡터들(희소 벡터: sparse vector)
◦
표현하고자 하는 단어의 인덱스의 값만 1이고, 나머지 인덱스에는 전부 0으로 표현되는 벡터 표현 방법
희소 표현(sparse representation) : 벡터 또는 행렬(matrix)의 값이 대부분이 0으로 표현되는 방법
Word2vec Ecoding
•
분산 가설(Distributed hypothesis) : 같은 문맥의 단어, 즉 '비슷한 위치에 나오는 단어는 비슷한 의미를 가진다' 라는 의미
•
따라서 어떤 글의 비슷한 위치에 존재하는 단어는 단어 간의 유사도를 높게 측정할 것이다.
인코딩 비교
•
기존 인코딩들 단점
◦
기존 정수 인코딩 (Integer Encoding)의 한계
▪
단어 사이의 연관성을 파악하기 어려움
◦
원-핫 인코딩 (One-hot Encoding)의 한계
▪
희소 표현 (Sparse Representation)
•
Word2vec 장점
◦
단어의 유사성을 인코딩에 반영
◦
인코딩 벡터가 비슷하다.
▪
단어가 유사하다.
•
Word2vec 단점
◦
Polysemy 문제: 단어가 여러 의미를 가지는 현상
ex) "bank"은 은행뿐만 아니라 강둑, 벤치 등 다양한 의미를 가질 수 있다.
이러한 경우 word2vec은 단어의 모든 의미를 구분하지 못하고, 여러 의미를 하나로 묶어버릴 수 있다.
Word Embedding with neural network(신경망)
•
워드 임베딩 방법론으로는 LSA, Word2Vec, FastText, Glove 등이 있다.
•
하지만 일반적으로 많이 사용하는 Embedding은 단어를 랜덤한 값을 가지는 벡터로 변환한 뒤에, 인공 신경망의 가중치를 학습하는 것과 같은 방식으로 단어 벡터를 학습하는 방법을 사용
•
특징
◦
단어를 실수 형태의 벡터로 표현하는 것
◦
신경망에서 임베딩 레이어를 추가하여 단어에 임베딩을 얻을 수 있음
•
자연어 처리를 하다보면 각 문장(또는 문서)은 서로 길이가 다를 수 있다.
•
그런데 기계는 길이가 전부 동일한 문서들에 대해서는 하나의 행렬로 보고, 한꺼번에 묶어서 처리할 수 있다.
•
다시 말해 병렬 연산을 위해서 여러 문장의 길이를 임의로 동일하게 맞춰주는 작업이 필요할 때가 있다.
•
ex) 가장 긴 단어의 길이가 10인 경우....
◦
good -> [1,11,11,2] (인코딩) -> [1,11,11,2,0,0,0,0,0,0] (패딩)
◦
mountain -> [3,11,4,5,6,7,8,9] (인코딩) -> [3,11,4,5,6,7,8,9,0,0] (패딩)
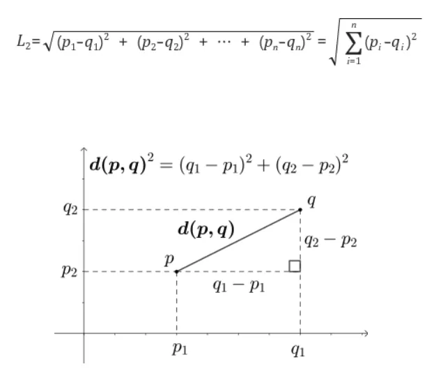
Similarity (유사도)
•
가장 기본적인 거리를 측정하는 유사도 공식
•
L2 distance
•
코사인 유사도는 두 벡터 간의 코사인 각도를 이용하여 구할 수 있는 두 벡터의 유사도를 의미
•
두 벡터의 방향이 완전히 동일한 경우에는 1의 값을 가지며, 90°의 각을 이루면 0, 180°로 반대의 방향을 가지면 -1의 값을 갖게 된다.
•
즉, 결국 코사인 유사도는 -1 이상 1 이하의 값을 가지며 값이 1에 가까울수록 유사도가 높다고 판단할 수 있다.
•
이를 직관적으로 이해하면 두 벡터가 가리키는 방향이 얼마나 유사한가를 의미
◦
코사인 유사도가 180°인 경우: -1
◦
코사인 유사도가 90°인 경우: 0
◦
코사인 유사도가 0°인 경우: 1
◦
A = [1,1,0], B = [1,0,-1] 인 경우,



















