행렬
•
숫자들을 직사각형 형태로 행과 열에 따라 나열한 것
•
행렬의 각 숫자들은 행렬 요소 또는 엔트리라고 지침
•
행렬의 차원은 행과 열 순서로 행과 열의 숫자를 표시
•
가로줄을 행(行, row), 세로줄을 열(列, column)이라 부름
행렬 덧셈(Matrix Addition: +)
•
두 개의 같은 크기를 가진 행렬을 더하는 연산
•
각 행렬의 같은 위치의 원소를 더하면 됨
•
교환 법칙과 결합 법칙이 성립
행렬 스칼라 곱(Scalar Multiplication of Matrices: ×, .)
•
행렬에 스칼라 값(실수/복소수)을 곱하는 연산
•
스칼라 값과 각 행렬의 원소를 곱하여 새로운 행렬을 생성
•
분배법칙, 결합법칙, 항등원의 곱이 성립
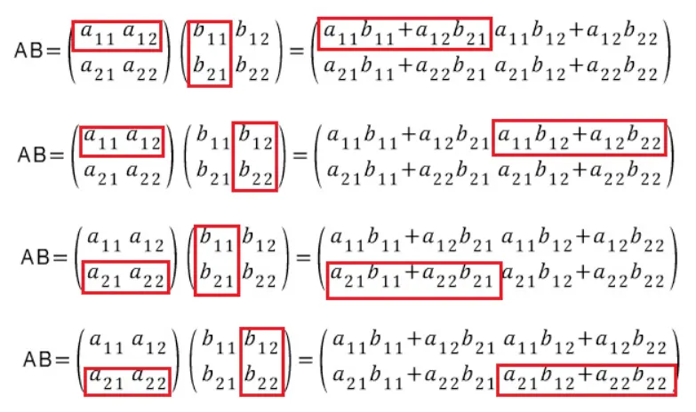
행렬 곱셈(Matrix multiplication)
•
두 개 이상의 행렬을 곱하는 연산
•
앞의 행렬의 열과 뒤의 행렬의 행의 크기가 동일해야 함
•
cm × n 크기의 A행렬과 n × p 크기의 B행렬을 곱하면 m × p 크기의 C 행렬이 생성
◦
a 행렬의 i번째 행과 B 행렬의 j번째 열의 각 원소를 곱한 값의 합이 c행렬 [i번째 행, j번째 열]의 원소가 됨.
역행렬
•
정방행렬에 대해서만 정의
•
정방행렬 A와 곱했을 때 항등행렬(identity matrix) I가 나오는 행렬을 의미
•
활용
◦
선형 연립 방정식
◦
행렬 연산의 역연산
•
역행렬이 존재하려면 행렬A는 행렬식(determinant)이 0이 아니어야 함
•
행렬식이 0인 경우 해당 행렬의 역행렬은 존재X
역행렬 구하는 방법
•
가우스-조르단 소거법(Gaussian-jordan elimination)
•
LU분해(LU decomposition)
•
numpy, MATLAB 같은 수치해석 라이브러리에서 역행렬 계산 함수 제공

